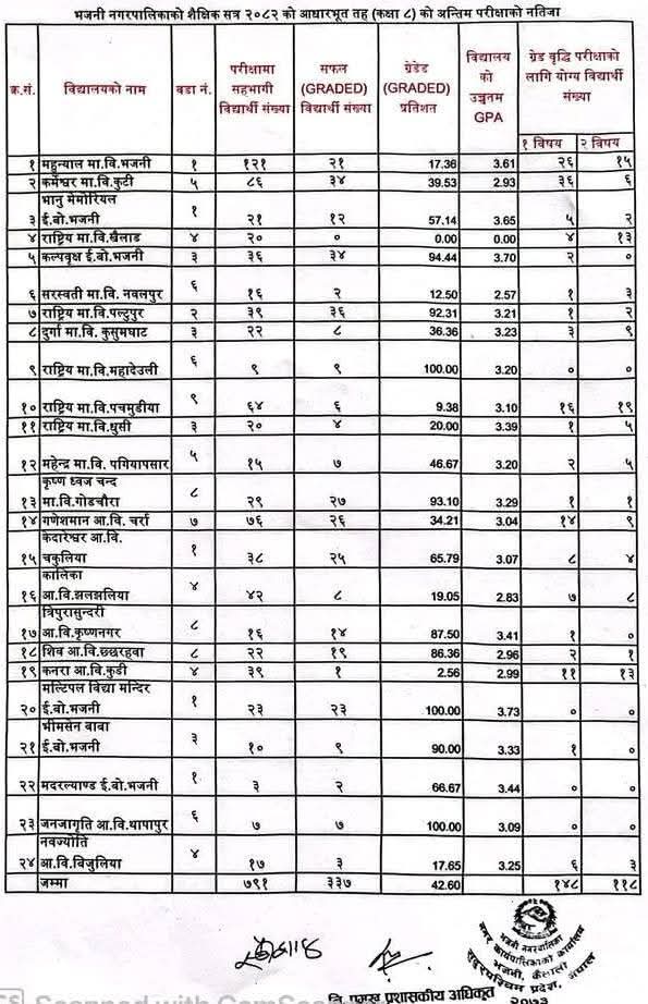
भजनी २७ चैत /भजनी नगरपालिकाको कक्षा ८ को नतिजा खस्किएको छ ।शैक्षिकसत्र २०८१ मा केही सुधार देखिएको नगरपालिकाको कक्षा ८ को वार्षिक परिक्षाको नतिजा यसपटक पुनः खस्किएको हो । नगरपालिकामा गतवर्ष परिक्षामा सहभागी भएका कुल बिद्यार्थीको ५६ प्रतिशत बिद्यार्थी उतिर्ण भएका थिए । यसवर्ष त्यो प्रतिशत घटेर ४२ मा झरेको छ । शैक्षिकसत्र २०८० मा भने २४ प्रतिशत विद्यार्थी मात्रै उतिर्ण भएको शिक्षा अधिकृत पंख बहादुर शाहले जानकारी दिएका छन् ।


सामुदायिक बिद्यालयको भन्दा संस्थागत बिद्यालयको नतिजा सकारात्मक देखिएको छ । शैक्षिक गुणस्तर बढाउन नसकिएको स्वीकार गर्दै नगरपालिकाका प्रमुख प्रशासकीय अधिकृत भोजराज भट्टले शिक्षक दरबन्दी मिलान र बिद्यालय समायोजन नभएसम्म स्थिति सुधार गर्न सम्भव नदेखिएको बताएका छन् । उनले शिक्षक दरबन्दी मिलानको लागि नगरपालिकाले प्रयास गरिरहेको बताउँदै अर्को शैक्षिकसत्रमा परिक्षाको नतिजामा सुधार आउने विश्वास व्यक्त गरे ।